近日,我校海洋技术与测绘学院地理信息科学系副教授邱志伟,与中国海洋大学陈戈教授团队深入开展学术合作,在海洋SAR遥感研究领域取得新进展。相关研究论文”Improving Sea Surface Height Reconstruction by Simultaneous Ku- and Ka-Band Near-Nadir Single-Pass Interferometric SAR Altimeter“在遥感与地球科学领域国际权威期刊《IEEE Transactions on Geoscience and Remote Sensing(IEEE TGRS)》上公开发表。



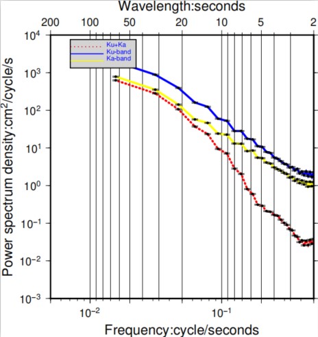
该论文提出了一种基于Ku/Ka双频合成孔径雷达干涉技术的海面高程高精度反演方法。该方法可以为新一代海洋科学卫星“观澜号”提供了一套行之有效的数据处理方法,确保亚中尺度的海洋涡旋等现象能够被高精度探测。论文利用“观澜号”卫星的设计参数,进行不同波段下的海面测高误差仿真分析,创新性地提出一种基于多通道最大似然(ML)函数的海面高度重建方法,最终通过日照机载海试进行了“空-海”联合验证。


图1日照机载海试现场:(a)由航天科工集团23所研发的机载双频干涉高度计装载现场;
(b)Ku/Ka机载双频干涉SAR高度计(c)海试现场的全体机组人员
邱志伟为论文第一作者,陈戈教授、马纯永副教授为共同通讯作者。IEEE TGRS是地球科学和遥感领域的顶级期刊之一,中科院SCI一区,2023年最新影响因子为8.2,近五年平均影响因子8.8,在遥感技术和地球科学领域具有非常高的影响力。