近日,商学院国际商务专业硕士生导师何兵博士与其指导的2022级研究生南国淇、徐达,以及孙军教授合作,以江苏海洋大学为论文第一完成单位和唯一通讯单位,在Nature旗下唯一面向人文与社会科学的期刊Humanities & Social Sciences Communications(《人文与社会科学通讯》)发表高水平文章“Bridging or widening? The impact of the Broadband China policy on urban-rural income inequality”。研究发现,宽带中国政策在推动城乡收入增长的同时短期内加剧了收入差距,但这一效应会因多政策协同有所减弱,这一发现为以数字经济为代表的新业态健康发展提供了重要理论依据。商学院何兵为第一作者兼通讯作者,2022级国际商务专业研究生南国淇、徐达和孙军教授为合作作者。

“宽带中国”政策是2013年推出的一项重要战略,旨在推动我国互联网基础设施快速发展。到2020年我国宽带网络基础设施发展水平与发达国家间差距大幅缩小,国民充分享受宽带带来的经济增长、服务便利和发展机遇。因此,该战略举措是中国信息基础设施建设规划的关键组成部分,是数字经济健康发展的重要推动力,对经济社会各方面具有深远影响。
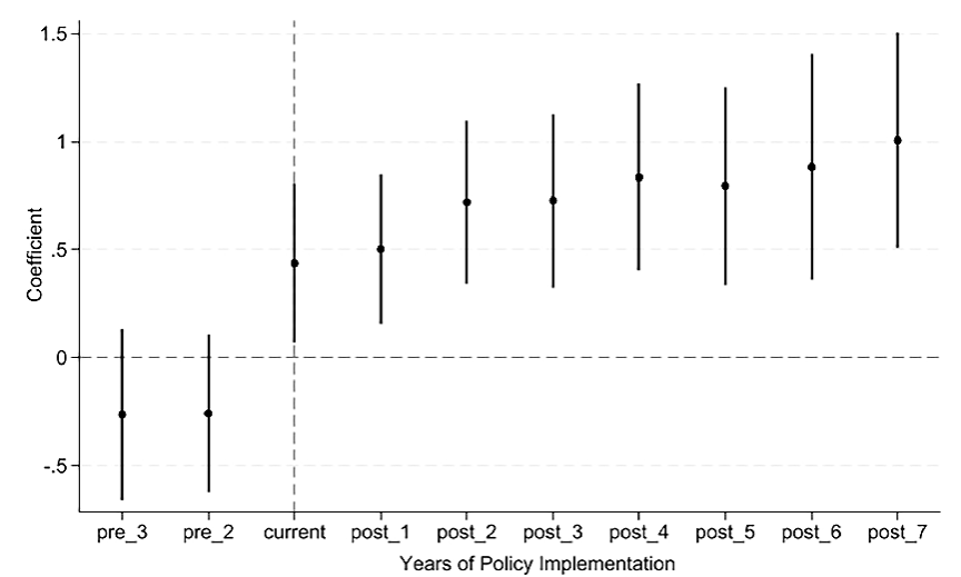
论文收集整理2011-2021年我国245个城市面板数据,对各城市泰尔指数进行测算,并将示范城市作为实验组构建多期双重差分模型进行实证分析。研究发现,“宽带中国”政策对城乡收入差距具有显著扩大效应。


为验证基准回归结果可靠性,文章作者们对该发现进行了一系列稳健性检验。通过500次随机抽样构建“伪实验组”开展安慰剂检验,政策自身因素外的其他因素对实验结果影响被排除,其结果呈正态分布充分说明“宽带中国”政策对城乡收入差距的扩大效应并非偶然。此外,后续还进一步通过政策冲击、PSM-DI等对稳健性进行了检验,结果仍支持原假设。


为检验“宽带中国”政策对城乡收入差距的影响机制,论文合作者们进一步构建逐步回归模型检验中介效应,创新性的发现该政策通过作用于创新、创业和数字相关产业发展影响收入分配。这一发现拓宽了研究机理,并为后续研究提供了分析框架。

考虑到单个政策施行往往伴随着其他政策的协同效应,论文合作者们进一步构建了协同效应模型,并对多个政策的综合影响进行了计量分析。其中,在计量模型中主要引入了国家电子商务示范城市政策、国家信息消费试点城市政策、促进科技和金融结合试点政策。结果表明,上述政策可以与宽带中国政策产生协同效应并减缓收入差距扩大的趋势。

本次研究成果发现“宽带中国”政策对收入层面的影响及作用机制,为数字经济提供了新的研究方向,也为利用数字经济推动经济协调发展提供了重要理论参考。同时,此研究强调了政策协同的重要性,为政府部门在推动数字基础设施建设时如何兼顾公平发展提供了政策参考,建议结合地方实际、加强产业支持和多政策的联动。此研究获得国家社会科学基金、江苏海洋大学研究生科研与实践创新计划项目等项目资助。
何兵博士指导的4名2022级国际商务研究生自入学以来,积极投入到科研学习当中,紧紧围绕数字经济、居民收入、国际投资及跨境电商等方向开展研究,取得了一系列标志性科研成果,目前已合作发表SSCI/SCI/CSSCI论文5篇。近三年,何兵博士以一作/通讯发表SSCI/SCI/CSCCI论文14篇。此外,文章另一合作者徐达同学在American Journal of Economics and Sociology (SSCI, ABS 2星,该杂志年发文仅50余篇)发表高水平论文。
全文链接:https://www.nature.com/articles/s41599-025-04875-z#citeas